外贸知识大全网

标签:

掉期率

掉期率相关结果为您找到共1个,关于掉期率的相关文章,爱六八外贸知识大全网为你找到共1篇,以下是包含“掉期率”标签的文章,持续关注爱六八外贸知识大全网各方位为你解读(掉期率)。

  • 掉期率

    掉期率

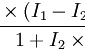
    掉期率(SwapRateorSwapPoint)掉期率概述掉期率指某一特定的货币,其远期汇率与现货汇率的差异,或正面或负面,通常以点数代表。其实“掉期率”来自两种交易货币之间的“利率水平差”。这种差值可以汇率形态表示,又称之为两货币之间在某...

    2022-06-19
    5065 0 0
  • 点击查看更多

联系我们

在线咨询: 点击这里给我发消息

微信号:15775053793

9:00-18:00

关注我们